 
 钣金加工件放样时的坯料尺寸由零件的展开尺寸、工艺变量(伸长或收缩量)与加工余量三部分组成,其确定方法见表5-13。
钣金加工件坯料尺寸的确定方法以筒节和90°压制弯头为例进行说明。
     
     
     
(1)筒节放样尺寸的确定
1)卷制筒节周长l。其计算公式为:l=Kπ(Dn+S)+2t,式中 K——修正系数,见表5-14;
Dn——筒节直径,mm;S——工艺变量(伸长或收缩量);t——边缘加工余量,mm。
2)环缝加工余量。薄壁筒节每端余量见表5-15。厚壁筒节的端部错位矫正困难,每端应放出7~18mm。
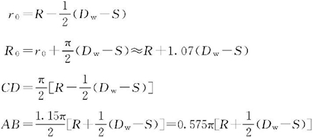
(2)90°压制弯头放样尺寸的确定
     
90°压制弯头放样尺寸的确定如图5-10所示。可用试验法确定钣金加工件坯料尺寸。
试验法确定其坯料尺寸各计算公式为:
     
注意周边应放15~35mm余量作下料划线。